ENERGAS: experience in low-pressure associated gas treatment and compression
LOW PRESSURE GAS
The expression of "low pressure gas" (LPG) is treated differently. Gas industry considers the LPG as natural gas at the mouth of the extractive gas well-with low pressure, insufficient to supply gas at compressor station or gas treatment unit.
Oil companies understand this term as an associated petroleum gas (APG) from the end stages of oil separation that does not have the pressure needed for its transportation from oil treatment plants (OTP) to a gas processing plant or local field power plant.
For example, gas pressure at the Varandey field OTP end-stage is close to atmospheric, and here ENERGAS low pressure compressor station ensures gas transport.
 НН ПНГ/845-1.jpg)
The term LPG is not showing only to the level of gas pressure – as an important factor of gas production. Experts give the other options for definition of LPG. So, low pressure gases include gas and gas condensate fields resources, for which industrial use with high compression and transport becomes economically unprofitable.
The following definition, bound to both economic and technical aspects, is more accurate. Low-pressure gas is a gas used in the technological schemes of the fields development, production and processing, which involvement in industrial application could be achieved only by special technical solutions and presents an extra costs.
THE PROBLEM IS DEFINED
Problem of LPG production and utilization is the following. Pressure in the gas formation decreases by field depletion. And there is a moment when gas pressure is not enough for supply to the pipelines without additional technological stages. Further application of LPG becomes unprofitable due to the total costs of production and gas delivery to the end user. At the moment low pressure gas gets 15-20% of the available natural gas reserves.
Because of the large fields depletion the importance of effective use of LPG increases significantly. According to expert data, amount of LPG on the developed gas fields in Western Siberia only amounts to trillions of cubic meters. On the developing fields of Yamal-Nenets Autonomous Area gas volume exceeds 2 trillion m3, and in the whole region more than 5 trillion m3.
A similar situation arises with the associated petroleum gas – gas produced during oil degassing and separation gets into the LPG category. For instance, if 11 years ago (in 2007) low-pressure associated gas (LP APG) volume on Vyngapur field was assessed in the amount of 90 billion m3, on the Medvezhye field (by the 2020) is estimated as 310 billion m3. The problem will become widespread by the 2025.
The increase of fat gas percentage in total gas production amount exacerbates the situation. Methane dry gas still holds the lead, because it does not require special systems to allocate ethane, propane, butane and heavier fractions. For this reason, the question of further use of heavy components of APG is not critical. But by 2030, approximately half of the extracted gas would be fat. Refocusing to the fat gas processing raises new priority –retooling fields in order to prepare gas condensate - important upstream material for gas chemical industry - for the transportation and processing.
This problem requires separate discussion, so we return to the LP APG.
MAXIMUM USE
Oil degassing process can start already in the pump-compressor pipes of the oil wells. When moving the production from wells in the pipelines, APG emission also happens. As a result, the oil flow transforms from a single-phase state in two-phase state – degasified oil and associated petroleum gas. This is due to a fact of a pressure drop and temperature changes of formation fluid.
However, joint possession or transportation of oil and associated gas is economically impractical. The volume of emitted gas is several times higher than the volume of liquid. Joint processing of oil and APG would cause need in capacitive equipment and pipelines of significantly larger size. Therefore, the production facilities and the preparation of oil and gas are divided into two different streams – oil and gas. Flow separation takes place in special separators, where are created conditions for the most effective segregation of the APG from oil.
Separated gas needs treatment in the special process equipment. Treatment of APG is a complex of different processes: drying, mechanical impurities removal, desulphurization, topping (extraction of liquid hydrocarbons C3 + above), removal of noncombustible gas components (nitrogen, carbon dioxide), gas cooling and compression.
Pre-staged APG is usually being distributed as following. One part goes to the needs of the field equipment: to the oil heater, as a fuel for gas reciprocating or gas-turbine power plants (pictured below) and boilers. The other part is being transported to the consumers, for example, to gas processing plant for gas chemistry production (if the GPP is in the area of oil production). Use APG for re-injection into the field formation for enhanced oil recovery (gas-lift system).
Not too long ago this scheme used only APG from the 1st separation stage. APG from the 2nd and higher stages were usually combusted, as the gas from the upper stages is more complicated in the preparation.
Such APG by density and content of C3 + above components is significantly heavier than gas from the 1st stage of separation. For example, the 2nd stage APG density may exceed 1,700 g / m3, and C3 + above content -1,000 g / m3. Accordingly, the quantity of gas condensate drop out from upper separation stages gas is much higher than the same indicators in the pipelines of 1st separation stage gas. Gas from the end stages is distinguished by high content of solids and moisture. Moreover, in addition to all the issues it needs to be compressed.
Thus, the rational use of the upper stages APG requires additional infrastructure for collection and preparation, which increases the cost of gas and reduces profitability. Therefore, a number of companies does not accept these costs and rejected from LP APG recycling.
The situation have changed after January 2009 when the Government introduced tight regulation according to which APG utilization percentage should be higher than 95%. The question "to burn or not to burn gas", is settled in Russia. APG combustion became unprofitable. Not only economic sanctions are the reason (table 1). Environmental reputation of the oil companies is also valuable.
Table 1. Mark-up factors to the APG excess burning charge
| Year | 2012 | 2013 | 2014 | 2020 |
| Mark-up factor | 4.5 | 12 | 25 | 100 |
With oil production decrease effective utilization of APG acquires special importance. Taking in attention that LP APG takes a significant part of APG losses, oil companies are adopting modern technologies for its recycling. Many of them have found their strategy correct.
ENERGAS WILL ENSURE EFFICIENCY
The APG from 2nd and higher oil separation stages has low-pressure. Its pressure does not exceed 0.4…0.5 MPa (g) and does not allow APG transportation to oil and gas facilities or supply to the pipeline upstream the head gas compressor station for further to transportation to a third-party consumers.
In this situation, the technological objective of LP APG compression is being solved in a comprehensive way. Field are equipped with so called small compressor stations (CS) or low separation stages compressor stations (LSS CS), based on low-pressure compressor units (CU). When gas pressure close to the vacuum (-0.05 to 0.01 MPa g), vacuum compressors are used on CS and LSS CS.
 НН ПНГ/845-4.jpg)
Reliable operation of the gas compressors is ensured by the special design solutions, taking into account gas composition and quality, operating conditions and individual project requirements. Since 2007, such experience is being collected in the ENERGAS Group, which specializes in implementation of gas conditioning projects. ENERGAS engineers carefully take into account all special aspects of LP APG compression using compressor units based mostly on oil-injected screw compressors.
ENGINEERING SOLUTIONS
In this section are listed the main issues that make LP APG compression process complicated and technical solution for each problem.
The need for additional purification. Despite the fact that gas supplied to the compressor unit is already prepared, solids and moisture content in this gas usually does not conform to the normal operating conditions of high-performance equipment. This fact does not allow us to reach the design value of gas purity at the outlet. Therefore, the filtration ability of the main components of the CU (oil separator and coalescent filters) expands by adding option components:
- at the gas inlet is installed two-stage filter scrubber , equipped with automatic condensate drainage system;
- at the outlet of CU we add fine gas filters. They as well as inlet scrubber are mounted inside the compressor unit enclosure that provides compact arrangement of equipment;
- the technological scheme of the unit may include gas drying system;
- in special cases CU scope of supply can include compact adsorption, absorption or refrigeration gas dryers in a separate enclosure.
 НН ПНГ/845-5.jpg)
The risk of condensation. Operation with heavy (fat) gas during compression is always accompanied by the risk of condensate dropout inside the gas system. This leads to appearance of the two following problems. The first is big amount of hydrocarbons dissolved in oil that leads to increased saturation of gas condensate, low kinematic viscosity of oil and increase the oil level in the oil tank. The second one is condensation inside the compression chambers of the screw compressor that leads to increased power consumption for external compression and the compression power per one kilo of gas. Problem is solved on the following way:
- we perform a detailed analysis of the gas composition and calculations in special software that creates a theoretical model of the behavior of a gas under certain conditions (temperature and pressure). This gives us the ability to determine the optimal operating temperature parameters of oil and gas, for which compression processes runs out of the condensation zone;
- in compressor unit oil system are used special lubricants with higher viscosity and high resistance to saturation from the heavy hydrocarbons.
The negative impact of very low inlet pressure close to the vacuum. Compression of gas with inlet pressure close to the vacuum (-0.05 MPa gauge), implies the following issues: 1) there is a large difference between inlet and outlet pressures, due to which gas pressure release is done not only through vent piping but also gas goes to the inlet pipeline. When this happens oil escapes with gas to the inlet filter scrubber; 2) under the influence of the vacuum gas that comes to the compressor unit can contain atmospheric air that enhances the explosiveness of the technological process. Applied solutions:
- CU are equipped with quick-acting valves with electric actuators and spring failsafe closing devices, that allows to cut off the CU gas circuit from the gas inlet pipeline;
- CU could be equipped with oxygen detection system that determines its content in compressible gas.
Changes of the gas composition. The APG composition is unstable. Moreover, at some projects compressor units there are designed for compression of gas mixture coming from different sources. Accordingly, the main gas parameters (composition, density, pressure, dew point, the calorific value) may vary. Also even if gas is coming from only one source its parameters also could be changed over time due to climate change, the depletion of the hydrocarbons reserves, wells watercut, etc. In order to control this process (and then, if necessary, vary the performance characteristics of CU), compressors can be equipped with the following optional equipment:
- gas chromatograph with the sampling device for determining the composition and calorific value of gas;
- gas dew point measurement device for water and hydrocarbons (with sampling device);
- compressible gas flow measuring device.
 НН ПНГ/845-6.jpg)
Severe operating conditions. Often LP APG compression is being held in harsh conditions: 1) climate with minimum air temperature up to minus 60°C, and the average temperature of the coldest 5 days up to minus 50°С; 2) special gas composition – for example, a high content of hydrogen sulphide; 3) difficult accessibility of the plants, that complicates maintenance and monitoring of the equipment operation. In practice the following solutions are implemented:
- different types of CU execution: hangar type without enclosure (pictured below), enclosure, Arctic enclosure;
- modified oil system and new generation of oil;
- special alloys and anti-corrosion materials;
- soft-starter for the compressor drive;
- redundancy of main components (e.g., dual filters or pumps of oil and cooling circuits), especially when compressor stations don’t have a reserve unit.
 НН ПНГ/845-7.jpg)
COMPLETED PROJECTS
Since 2007, ENERGAS performed supply and commissioning of 275 gas treatment and compression units. In the power generation industry they are in operation on 171 power generation unit with 6 290 MW total capacity; in the oil and gas industry they ensure conditioning of APG and natural gas at 43 fields.
ENERGAS compressor units are used in the following facilities of the extractive industry: auxiliaries power supply complexes based on the GTPP and GTU-CHPP; oil processing and pumping shops (OPPS); oil verification departments (OVD); booster pump stations (BPS); oil treatment plants (OTP); central production facilities (CPF); terminal separation units (TSU); main transfer pumping stations (MTPS); transportation systems of liquid hydrocarbons (TSLH); free water knockout units (FWKO); condensate de-ethanization units (CDU); complex gas and condensate treatment plants (CGTP, CGCTP).
ENERGAS Group constantly increases unique experience in projects with low-pressure associated gas. Location of such projects starts from the Republic of Belarus to the Russia’s High Northand and the Republic of Sakha (Yakutia).
 НН ПНГ/845-8.jpg)
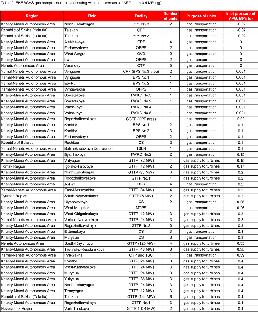
Today in such special projects are used 117 compressor units (table 2), another 11 CU are in the commissioning phase.
Practice convinced us: rational use of APG in the maximum possible volumes requires not only concerted efforts by the Government, business community and civil society, but also to the harmonious work of professional community – oilmen, designers and manufacturers of the equipment.